black

登录

单项选择题

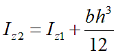
三角形ABC,已知,轴z1//z2 ,则的值为(   )

A.
B.
C.
D.
相关考题

问答题 苏轼在艺术创作中反复强调的心态是[填空1]。

未知题型 非法集资犯罪的犯罪主体既可以是自然人主体,也可以是单位主体。判断对错

单项选择题 定义SCI口允许发收器发送,则应令SCC2寄存器的第X位为1,X为A. 1B. 2C. 3D. 4

All Rights Reserved 版权所有©计算机考试题库(PPhuashu.com)

备案号:湘ICP备2020024380号-1